It was like pulling teeth. But the residents of
Piermont, New York and I have now extracted the below-printed dramatic OPRA findings about New Jersey builder and general contractor Frank DeCarlo, directly from the public-record files of
the Borough of Paramus, New Jersey. To save you some time in reviewing them, key sections of these newly-uncovered documents are yellow-highlighted, sequentially-dated, and chronologized below for your ease of reference.
The above publicly-displayed abomination was designed by Frank DeCarlo’s architect sister Stephanie Pantale DeCarlo alias
Stephanie DeCarlo Pantale, who appears towards the right of the photograph above. I am informed that Frank DeCarlo and Piermont Developers,
LLC since laid-off Frank’s own sister Stephanie from the project, and also withdrew
the specific plans and depictions of the 14-unit Ark of Disaster like that above. However, the application of
Piermont Developers LLC to build a multi-unit residential structure on the subject property at 447-477 Piermont Avenue still remains extant, as pending before Piermont village government. It is that application made to the Village of
Piermont which must be terminated with prejudice, using all lawful force necessary to do it.
A fair question is Frank DeCarlo’s past record in construction, as a general contractor and as a builder. Hence the below-printed original documents from Paramus. You can read the documents for yourself of course.
A fair question is Frank DeCarlo’s past record in construction, as a general contractor and as a builder. Hence the below-printed original documents from Paramus. You can read the documents for yourself of course.
Here’s your Executive
Summary:
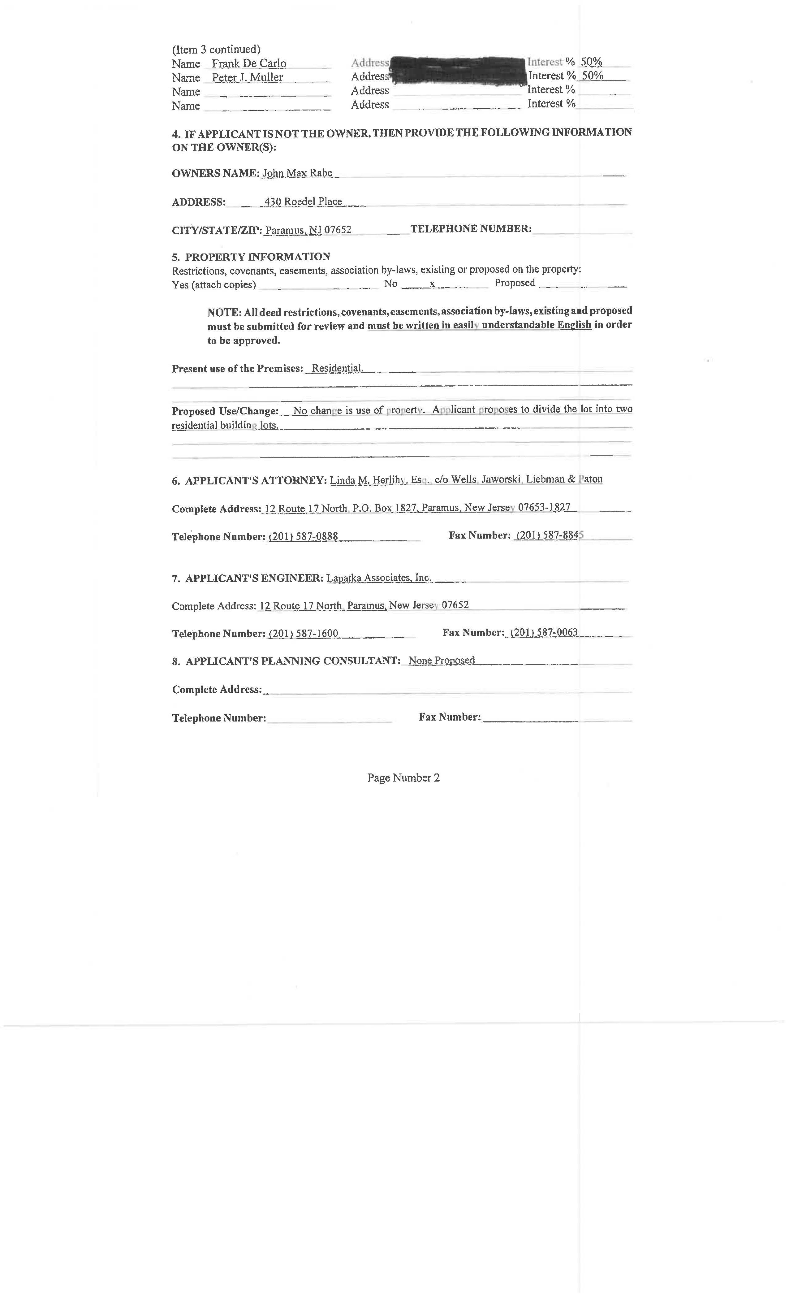
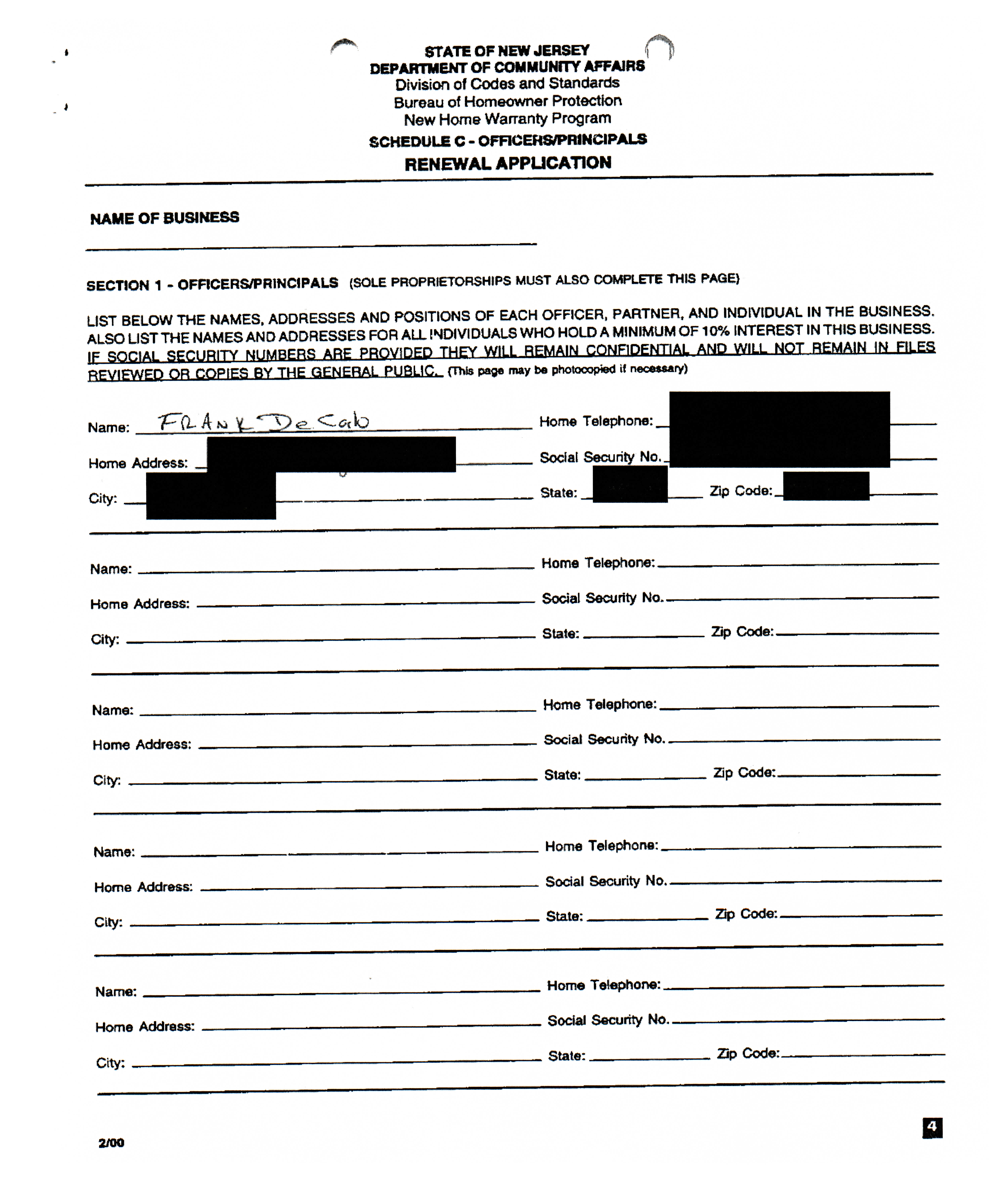
- Back on January 10, 2001, the same Frank DeCarlo formed an LLC named “Roedel, LLC” with a co-venturer named Pete Muller, citing Frank’s address at "345 11th Street" in Cresskill, New Jersey, as Roedel, LLC’s address. The two men called the newly-formed real estate enterprise “Roedel, LLC”, because its purpose was to develop and build on a location known as "430 Roedel Place" in Paramus, New Jersey.
- Frank DeCarlo and Roedel, LLC then engaged in the process of seeking permits, approvals, and permissions from Borough Hall in Paramus.
- Frank Decarlo and Roedel, LLC’s plan was to demolish the existing structures on the 430 Roedel Place site, subdivide the lot into two residential building lots, build a new single house on each of the two lots, and then sell them. Although Paramus denied DeCarlo and Roedel on a construction permit application at one point on March 9, 2001 “because of non-compliance with the municipal zoning code”, Frank DeCarlo and Roedel, LLC ultimately obtained the subdivision approval they sought from Paramus, on April 5, 2001.
- Zillow suggests that Frank DeCarlo and Roedel, LLC bought the 430 Roedel Place property from a man named John Max Rabe on or about April 24, 2001, for an amount approximated to be US$480,000.
- The demolition was scheduled for a date on or about May 15, 2001. That demolition occurred.
- Then on July 25, 2001, a document was filed with the Borough of Paramus Engineering Department, indicating that Frank DeCarlo’s Roedel[], LLC needed to “mov[e] soil” - 150 cubic yards of soil - so as to facilitate a “new home foundation”. [Emphasis supplied]. This work was scheduled to commence on or about August of 2001, to be completed by the following January.
- As for what defines “foundation”, AI tells us: "A house foundation is the load-bearing part of a house that's usually built below ground. It's the most important part of a building because it's what everything else rests on. The foundation's job is to transfer the weight of the house to the ground or rock underneath without excessive movement or settlement. It also protects the house from water, soil, and other destructive things in the ground".
- Back to 430 Roedel Place. The needed permissions were issued from the Borough of Paramus and the work was done.
- Back on January 10, 2001, the same Frank DeCarlo formed an LLC named “Roedel, LLC” with a co-venturer named Pete Muller, citing Frank’s address at "345 11th Street" in Cresskill, New Jersey, as Roedel, LLC’s address. The two men called the newly-formed real estate enterprise “Roedel, LLC”, because its purpose was to develop and build on a location known as "430 Roedel Place" in Paramus, New Jersey.
- Frank DeCarlo and Roedel, LLC then engaged in the process of seeking permits, approvals, and permissions from Borough Hall in Paramus.
- Frank Decarlo and Roedel, LLC’s plan was to demolish the existing structures on the 430 Roedel Place site, subdivide the lot into two residential building lots, build a new single house on each of the two lots, and then sell them. Although Paramus denied DeCarlo and Roedel on a construction permit application at one point on March 9, 2001 “because of non-compliance with the municipal zoning code”, Frank DeCarlo and Roedel, LLC ultimately obtained the subdivision approval they sought from Paramus, on April 5, 2001.
- Zillow suggests that Frank DeCarlo and Roedel, LLC bought the 430 Roedel Place property from a man named John Max Rabe on or about April 24, 2001, for an amount approximated to be US$480,000.
- The demolition was scheduled for a date on or about May 15, 2001. That demolition occurred.
- Then on July 25, 2001, a document was filed with the Borough of Paramus Engineering Department, indicating that Frank DeCarlo’s Roedel[], LLC needed to “mov[e] soil” - 150 cubic yards of soil - so as to facilitate a “new home foundation”. [Emphasis supplied]. This work was scheduled to commence on or about August of 2001, to be completed by the following January.
- On August 21, 2001, the
Borough of Paramus Building Department wrote Frank DeCarlo’s Roedel, LLC a
stern-sounding letter dictating very specific requirements regarding “concrete
blocks”, a “stake-out plan”, “anchor bolts”, “foundation walls”, “pour-in place
concrete”, “foundation supports”, and the “garage floor slab”. Some or all of these
painstaking requirements were communicated to Frank DeCarlo and Roedel, LLC as
pre-conditions to the issuance of a building permit for what was now referred to
as “430/432 Roedel Place”. In other words, it is not as if Frank DeCarlo and
Roedel, LLC were unaware of the importance of getting the job done properly, to the correct specifications, using the right materials to do so.
- As for what defines “foundation”, AI tells us: "A house foundation is the load-bearing part of a house that's usually built below ground. It's the most important part of a building because it's what everything else rests on. The foundation's job is to transfer the weight of the house to the ground or rock underneath without excessive movement or settlement. It also protects the house from water, soil, and other destructive things in the ground".
- Back to 430 Roedel Place. The needed permissions were issued from the Borough of Paramus and the work was done.
- In April of the following
year, 2002, as new prospective buyers of each parcel, a couple named Dr. Raffi and Souzy Agopian, and an individual named Jin Wai Huang, each filed a “Certificate of
Participation” in the “New Home Warranty Security Fund” offered by the “New
Jersey Department of Community Affairs, Division of Codes and Standards, Bureau
of Homeowner Protection”. Each of those documents list “F. DeCarlo” as the “Builder
Name”, and each document bears Frank DeCarlo’s own signature. As you will see below, the Agopians ended up claiming on that fund three years later.
- Certificates of Occupancy for each parcel were obtained and put on file in May and June of 2002.
- The houses on each lot were sold to these new buyers, the Agopians and Huang. Frank DeCarlo and Roedel, LLC made their serious cheese. According to Zillow, Dr. Raffi and Souzy Agopian bought 430 Roedel Place on June 24, 2002 for US$855,000, while Jin Wai Huang bought 432 Roedel Place on July 22, 2002 for US$867,000.
- While the record is not clear on this next item, it appears that some Violation Notice may have been issued by Paramus on one of the two properties in 2004.
- Then on or about November 28, 2005, the big news, and the whole point of this blog-post: Dr. Raffi Agopian and his wife Souzy discovered a “crack along [the] basement bearing wall… running along the whole length of [two] walls”.
- The Agopians claimed on New Jersey's New Home Warranty Security Fund. The State Bureau of Homeowner Protection thereupon notified the Borough of Paramus and Frank DeCarlo’s Roedel, LLC in writing (see below). The notice told Roedel and Paramus that a claim had been filed with that same New Home Warranty Program with which both the Agopians and Jin Wai Huang had prospectively (and, in the case of the Agopians, presciently) filed three-plus years prior in April 2002.
- Certificates of Occupancy for each parcel were obtained and put on file in May and June of 2002.
- The houses on each lot were sold to these new buyers, the Agopians and Huang. Frank DeCarlo and Roedel, LLC made their serious cheese. According to Zillow, Dr. Raffi and Souzy Agopian bought 430 Roedel Place on June 24, 2002 for US$855,000, while Jin Wai Huang bought 432 Roedel Place on July 22, 2002 for US$867,000.
- While the record is not clear on this next item, it appears that some Violation Notice may have been issued by Paramus on one of the two properties in 2004.
- Then on or about November 28, 2005, the big news, and the whole point of this blog-post: Dr. Raffi Agopian and his wife Souzy discovered a “crack along [the] basement bearing wall… running along the whole length of [two] walls”.
- The Agopians claimed on New Jersey's New Home Warranty Security Fund. The State Bureau of Homeowner Protection thereupon notified the Borough of Paramus and Frank DeCarlo’s Roedel, LLC in writing (see below). The notice told Roedel and Paramus that a claim had been filed with that same New Home Warranty Program with which both the Agopians and Jin Wai Huang had prospectively (and, in the case of the Agopians, presciently) filed three-plus years prior in April 2002.
- In its November 28, 2005 correspondence, the New Jersey State Bureau of Homeowner Protection noted that the claim for the massive crack “may constitute a major structural defect” and “might involve major structural elements of the load bearing portion of the structural system of the home”.
- The New Jersey State Bureau of Homeowner Protection thereupon demanded all documents of the Borough of Paramus including “information… regarding the licensed design professional of record”. The State Bureau set up an inspection. Additionally, the State Bureau put “Builders” Frank DeCarlo and his Roedel, LLC company on written notice that if the claim must be paid, it would “affect [his] warranty contribution percentage for future warranty enrollments” – the builder equivalent of your insurance premiums increasing because of a car crash.
What did Frank DeCarlo know
about the crack or cracks in the basement bearing walls of 430 Roedel Place that he presumably
built and/or supervised - and when did he know it?
And let’s give New Jersey’s Frank DeCarlo the benefit of the doubt for a moment, as to what caused the “crack along [the] basement bearing wall… running along the whole length of [two] walls”. For example:
1. Maybe the Agopians made the mistake of inviting a Brontosaurus into their basement, sometime in Year 2003.
2. Maybe Southside Johnny did a soundcheck in nearby Glen Rock and turned up the volume too much on the sound board, sometime in Year 2004.
3. Or maybe Chris Christie had too much chili for lunch one day in Newark, sometime in early 2005.
Considering those possibilities, though, I will still go with the most plausible of explanations.
And let’s give New Jersey’s Frank DeCarlo the benefit of the doubt for a moment, as to what caused the “crack along [the] basement bearing wall… running along the whole length of [two] walls”. For example:
1. Maybe the Agopians made the mistake of inviting a Brontosaurus into their basement, sometime in Year 2003.
2. Maybe Southside Johnny did a soundcheck in nearby Glen Rock and turned up the volume too much on the sound board, sometime in Year 2004.
3. Or maybe Chris Christie had too much chili for lunch one day in Newark, sometime in early 2005.
Considering those possibilities, though, I will still go with the most plausible of explanations.
What I do know from the below-printed
documents, is that Frank DeCarlo and his company sold the Agopians a house in
2002 for a whole lot of money, that in 2005 turned out to have a major crack running along the whole length of two walls in the basement - triggering a warranty claim to the
State of New Jersey. By the way, the OPRA results from the State Bureau itself will be in hand shortly, and I look forward to sharing those further public-record documents with you. Perhaps they will shed even more light on causation.
Yet even if Frank DeCarlo were to attribute the cause of the massive crack in the Agopians' basement, to be the thrashing of that Brontosaurus occurring well after DeCarlo sold the 430 Roedel Place property, I am certain that, if I were the Agopians hearing that explanation out of Frank DeCarlo's mouth: (A) I would regret ever having bought a house from Frank DeCarlo and his company to begin with, and (B) I would never again buy any structure from Frank DeCarlo or his company.
Yet even if Frank DeCarlo were to attribute the cause of the massive crack in the Agopians' basement, to be the thrashing of that Brontosaurus occurring well after DeCarlo sold the 430 Roedel Place property, I am certain that, if I were the Agopians hearing that explanation out of Frank DeCarlo's mouth: (A) I would regret ever having bought a house from Frank DeCarlo and his company to begin with, and (B) I would never again buy any structure from Frank DeCarlo or his company.
How about you?
So therefore, why in the blazes is the Village of Piermont, New York even entertaining the notion at this point, of allowing the self-same Frank DeCarlo and his newfound “Piermont Developers, LLC” company to develop, construct, and build a massive multi-unit residence at 447-477 Piermont Avenue in Piermont, in which many presumably-innocent inhabitants are intended to thereafter live?
So therefore, why in the blazes is the Village of Piermont, New York even entertaining the notion at this point, of allowing the self-same Frank DeCarlo and his newfound “Piermont Developers, LLC” company to develop, construct, and build a massive multi-unit residence at 447-477 Piermont Avenue in Piermont, in which many presumably-innocent inhabitants are intended to thereafter live?
When exactly did their safety cease to matter to ersatz Piermont government "officials"?
Consider, if you will, the future possibility of a massive residential structure in the middle of Piermont, with a huge crack in its foundational load bearing walls, built over the site of a former Sunoco gasoline station, a few hundred feet away from a Superfund site, in the middle of a small village which will continue to regularly flood - in a jurisdiction controlled and governed by already-corrupted incompetents.
What could possibly go wrong with that, right?
And why in the blazes is the soft Piermont Village “government” incapable of doing even a modicum of due diligence on the guy intending to drop a huge structure right in the middle of that same Village?
And why in the blazes is the soft Piermont Village “government” incapable of doing even a modicum of due diligence on the guy intending to drop a huge structure right in the middle of that same Village?
Why wasn't it Piermont "government" disclosing these below documents to me and the rest of the public, first?
Why am I doing their work
for them?
Here's the file. You'll first see the critical November 2005 correspondence from the State of New Jersey Bureau of Homeowner Protection - followed by the full chronology of documents regarding 430 Roedel Place starting back in 1982.
When reading it, ask yourself: Is that all you get for your money?


























































































































































































































































































































































































































